Liebe Kunden,

von den Einschränkungen und den daraus resultierenden Einbußen durch die Corona-Pandemie sind leider auch wir und unsere Belegschaft betroffen. Wir haben uns daher leider schweren Herzens entschlossen, unsere YOUR-WATER Manufaktur bis auf unbestimmte Zeit zu schließen und werden nur noch bestehende Aufträge abschließen.

Geschäftskunden betreut der Husumer Mineralbrunnen (ab einer Bestellmenge von 324 Flaschen) weiterhin gern unter www.privatewater.de

+49 (0)4841 / 7790 47 | sales@privatewater.de

Wir bedanken uns bei Ihnen für Ihr bisheriges Vertrauen und wünschen Ihnen alles Gute!
Bleiben Sie gesund!

Ihr YOUR-WATER Team

Schnelle Lieferung mit YOUR-WATER

Schnelle Lieferung zu Dir

Der Chef setzt mal wieder kurzfristig ein Event für nächste Woche an oder Dein Geldgeber kommt vorbei und Du willst mal so richtig Eindruck schinden? Du brauchst noch eine super Merchandising-Lösung für die kommende Messe oder hast noch immer keine Idee für den Kindergeburtstag Deiner Kleinen, mit der Du punkten kannst? Und Du suchst auch noch nach dem besonderen Etwas für (D)eine Hochzeit, bist aber doch ein wenig spät dran?
Ja, wir kennen das!

Deshalb haben wir unsere kleine Wassermanufaktur YOUR-WATER gegründet. Im Vergleich zu den ganz großen Betrieben, können wir so Dein individuelles Mineralwasser in kleineren Stückzahlen produzieren und mit unseren zuverlässigen Lieferanten eine schnelle Lieferung ermöglichen.
In nur 3-4 Arbeitstagen ist Deine Lieferung schon bei Dir.

Lieferung

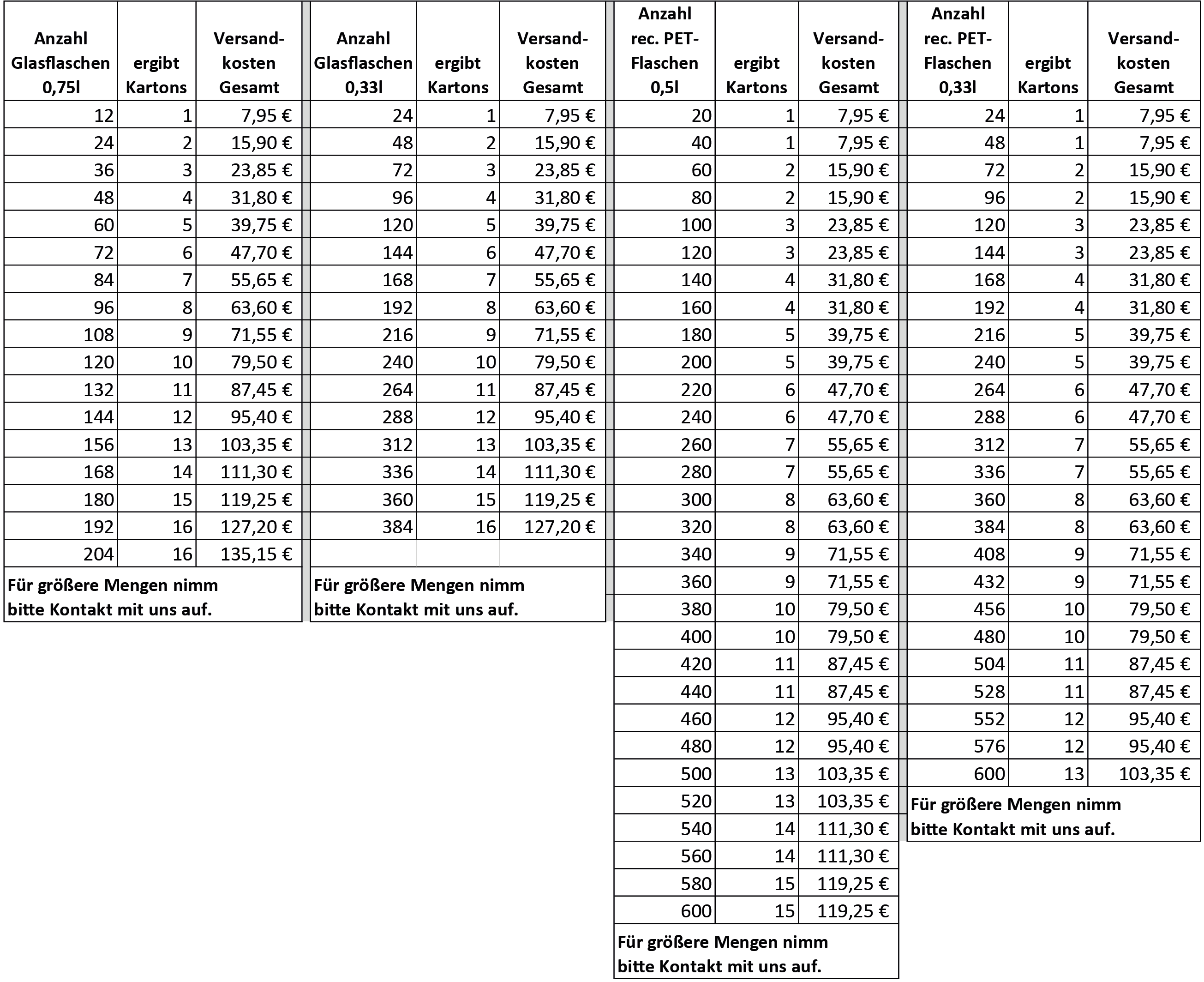
Alle Preise auf dieser Webseite verstehen sich zzgl. folgender Verpackungs- und Versandkosten. Für Flaschen, die im Geltungsbereich der deutschen Verpackungsverordnung eingesetzt werden, muss zudem das gesetzlich vorgeschriebene Pflicht-Flaschenpfand in Höhe von 0,25€ inkl. MwSt. erhoben werden. Wir addieren diesen Betrag im Warenkorb und Du kannst die Pfandflaschen später einfach zum Pfandautomaten bringen und erhältst den Pfandbetrag zurück.

Unsere Produktions- und Lieferzeit beträgt gewöhnlich 3-4 Arbeitstage. In der Regel wird bei Auftragseingang bis 10 Uhr am Werktag, spätestens am Folgetag gedruckt und Dein Wasser etikettiert und versendet. Die Versandlaufzeiten betragen für Deutschland 1-3 Werktage (DHL). Oftmals erfolgt eine Zustellung allerdings bereits am nächsten Werktag. Für das Ausland gelten abweichende Paketlaufzeiten.

Wir schicken Dir eine Versandbestätigung per Email, wenn wir Dein Paketlabel erstellt haben und das Paket bereit zur Abholung durch DHL ist. In dieser Email findest Du einen Link zu unserem Logistikpartner und den entsprechenden Tracking-Code für die Nachverfolgung Deines Paketes. Mit diesem kannst Du auf der Seite unseres Logistikpartners den aktuellen Status Deines Paketes nachschauen.

Wasser ist bekanntlich in großen Mengen schwer und die Versandkosten dafür nicht unerheblich, deswegen müssen wir leider jeden zu versendenden Karton berechnen. Beachte aber, dass manchmal 20 bzw. 24 Flaschen mehr, genau die gleichen Versandkosten bedeuten, da wir unterschiedliche Kartons verwenden.

Deine Flaschen werden in sonderangefertigten Kartons verschickt, damit Deine Bestellung auch heile bei Dir ankommt. Solltest Du eine größere Menge an Flaschen bestellen wollen und Geschäftskunde sein, bei dem wir Paletten während der allgemeinen Geschäftszeiten anliefern können, so kontaktiere uns auch gern für ein Alternativangebot für Palettenversand.

Bei gemischten Flaschenbestellungen fallen die jeweils unterschiedlichen Versandkosten an und werden addiert.

Deutschland

Versandlaufzeit 1-3 Tage

© YOUR-WATER 2026 AGB Datenschutz Impressum